目的
手指あるいは前腕真皮に存在するマスト細胞の強皮症の皮膚線維化や臓器病変への関連を明らかにすることである。
方法
皮膚組織検体:
当科入院中に施行された皮膚生検検体
強皮症 (70症例): 手指および前腕伸側
非強皮症 (29症例): 自己免疫性疾患患者
control (4症例): 剖検, 正中切開施行時の健常皮膚組織
マスト細胞同定・マスト細胞数計測方法:
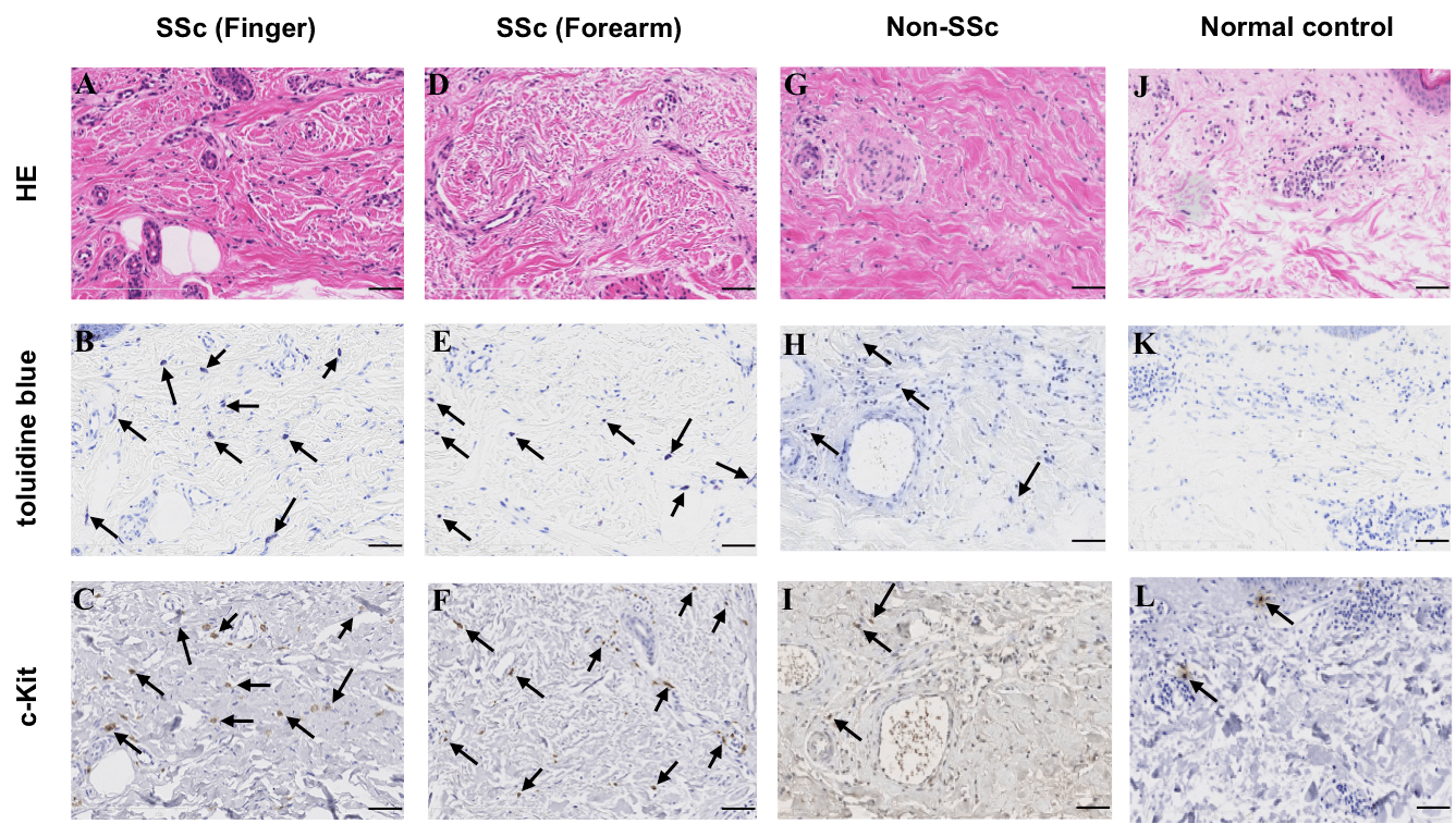
toluidine blue staining, c-kit immunostaining NanoZoomer Digital Pathology (NDP)を用いて, 標本面積当たりのマスト細胞数を計測(counts/㎟)
脱顆粒マスト細胞は, toluidine blueで同定
患者背景の抽出・統計学的検討:
診療録を用い、レトロスペクティブに解析
SPSSソフトウェアを用いて, 統計学的解析を行った
強皮症70症例の臨床的特徴

皮膚真皮に存在するマスト細胞

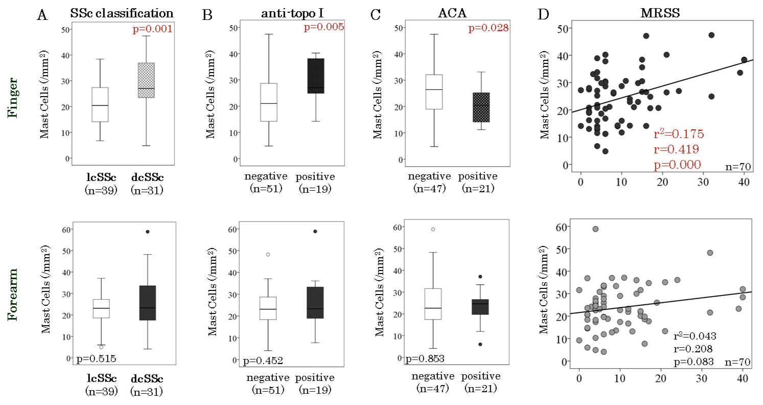
強皮症の手指および前腕真皮には有意に多数のマスト細胞が存在した

手指真皮マスト細胞は皮膚線維化の病勢を反映していた

手指真皮マスト細胞は, PAH合併で有意に多く, 更にPAHの病勢を反映していた

手指真皮脱顆粒マスト細胞は, PAH合併で有意に多く, 更にPAHの病勢を反映していた

SSc関連PAH肺組織では, 肺動脈周囲には多数のマスト細胞が存在し, 盛んな脱顆粒を認めた



